Class Meeting 03: Robot State Estimation


Today's Class Meeting



Robot State Estimation


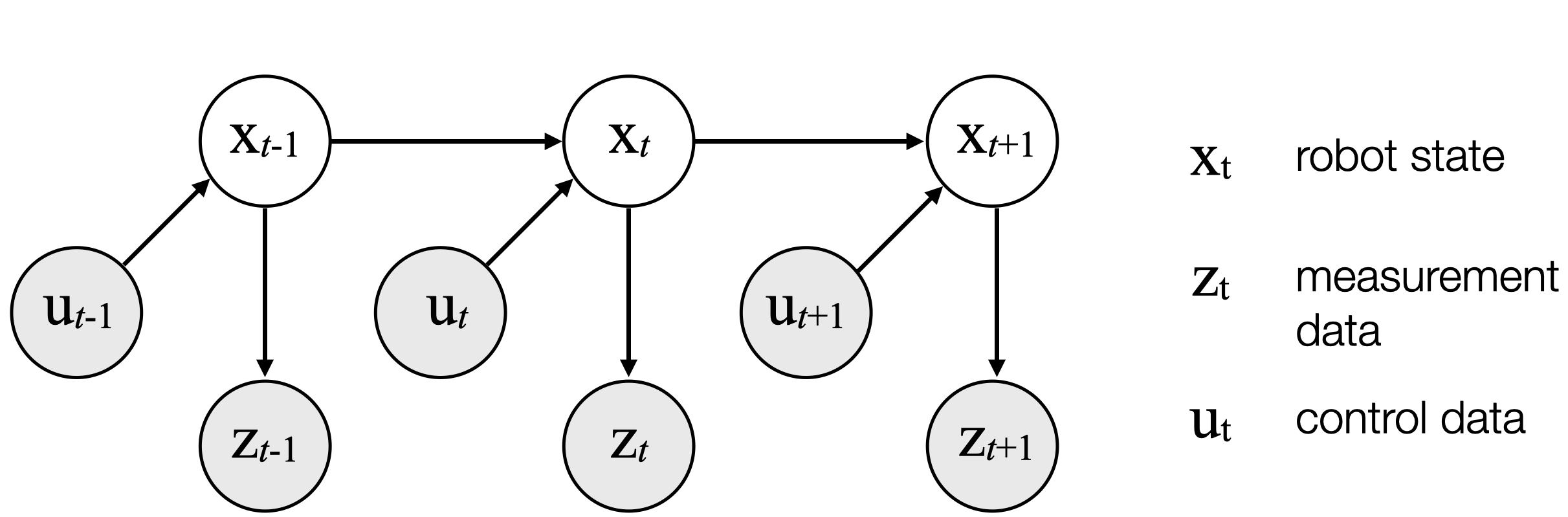
Today, we're covering topics related to how a robot estimates its state (\(x_t\)) using measurement data (\(z_t\)) and the knowledge of the actions the robot takes in the environment (\(u_t\)). This problem can be represented as a hidden Markov model or dynamic Bayes network as depicted in the following diagram.

DBN

Bayes Filter Algorithm


The following is the Bayes filter algorithm as we discussed during class:


\(\textrm{Bayes_Filter}( bel(x_{t-1}), u_t, z_t):\)
\(\qquad \textrm{for} \: \textrm{all} \: x_t \: \textrm{do} \)
\(\qquad \qquad \overline{bel}(x_t) = \int p(x_t | u_t, x_{t-1}) \: bel(x_{t-1}) \: dx_{t-1}\)
\(\qquad \qquad bel(x_t) = \eta \: p(z_t | x_t) \: \overline{bel}(x_t) \)
\( \qquad \textrm{endfor}\)
\( \qquad \textrm{return} \: bel(x_t) \)


Some useful tips/notes:


Class Exercise: Estimating the State of a Door (Bayes Filter Algorithm)


We'll first go over this as a class example and the belief calculation for \(t = 1\) as a class.

robot door state estimation

We'll practice applying the Bayes filter on a situation where a robot is estimating the state of a door using a forward-facing camera. We will assume that the door can be in one of two states: 1) open or 2) closed. Also, we'll assume that the robot doesn't know what state the door is in, so we assign a prior probability for the two states of: $$bel(X_0 = \textrm{open}) = 0.5$$ $$bel(X_0 = \textrm{closed}) = 0.5$$

Let's also assume that the robot's camera sensor is noisy and can be characterized by the following conditional probabilities: $$p(Z_t = \textrm{sense_open} \: | \: X_t = \textrm{is_open}) = 0.6$$ $$p(Z_t = \textrm{sense_closed} \: | \: X_t = \textrm{is_open}) = 0.4$$ $$p(Z_t = \textrm{sense_open} \: | \: X_t = \textrm{is_closed}) = 0.2$$ $$p(Z_t = \textrm{sense_closed} \: | \: X_t = \textrm{is_closed}) = 0.8$$ These probabilities indicate to us that the robot's sensors have less error when sensing when the door is closed (error = 0.2) than when sensing when the door is open (error = 0.4).

Our final set of assumptions are about the robot's ability to influence the environment. Let's assume that the robot can use its arm to push open the door with a 0.8 chance: $$p(X_t = \textrm{is_open} \: | \: U_t = \textrm{push}, X_{t-1} = \textrm{is_open}) = 1$$ $$p(X_t = \textrm{is_closed} \: | \: U_t = \textrm{push}, X_{t-1} = \textrm{is_open}) = 0$$ $$p(X_t = \textrm{is_open} \: | \: U_t = \textrm{push}, X_{t-1} = \textrm{is_closed}) = 0.8$$ $$p(X_t = \textrm{is_closed} \: | \: U_t = \textrm{push}, X_{t-1} = \textrm{is_closed}) = 0.2$$ If the robot decides not to open the door: $$p(X_t = \textrm{is_open} \: | \: U_t = \textrm{do_nothing}, X_{t-1} = \textrm{is_open}) = 1$$ $$p(X_t = \textrm{is_closed} \: | \: U_t = \textrm{do_nothing}, X_{t-1} = \textrm{is_open}) = 0$$ $$p(X_t = \textrm{is_open} \: | \: U_t = \textrm{do_nothing}, X_{t-1} = \textrm{is_closed}) = 0$$ $$p(X_t = \textrm{is_closed} \: | \: U_t = \textrm{do_nothing}, X_{t-1} = \textrm{is_closed}) = 1$$


Belief calculation for \(t = 1\)


Now, we are going to assume that the robot executes the action \(u_1 = \textrm{do_nothing}\) and receives the measurement \(z_1 = \textrm{sense_open}\) from its camera. We'll walk through this example and have you calculate the belief for the next time step (\(t = 2\)).

\(\overline{bel}(x_1) = \int p(x_1 | u_1, x_{0}) \: bel(x_{0}) \: dx_{0}\)
\(\qquad \quad = \sum_{x_0} p(x_1 | u_1, x_{0}) \: bel(x_{0}) \)
\(\qquad \quad = p(x_1 | U_1 = \textrm{do_nothing}, X_0 = \textrm{is_open}) \: bel(X_0 = \textrm{is_open}) + \) \(\qquad \qquad \: p(x_1 | U_1 = \textrm{do_nothing}, X_0 = \textrm{is_closed}) \: bel(X_0 = \textrm{is_closed}) \)

Now, we can calculate \(\overline{bel}(x_1)\) for both \(X_1 = \textrm{is_open}\) and \(X_1 = \textrm{is_closed}\).

\(\overline{bel}(X_1 = \textrm{is_open}) = p(X_1 = \textrm{is_open} \: | \: U_1 = \textrm{do_nothing}, X_0 = \textrm{is_open}) \: bel(X_0 = \textrm{is_open}) + \)
\(\qquad \qquad \qquad \qquad \quad \: p(X_1 = \textrm{is_open} \: | \: U_1 = \textrm{do_nothing}, X_0 = \textrm{is_closed}) \: bel(X_0 = \textrm{is_closed}) \)
\(\qquad \qquad \qquad \qquad = 1 \cdot 0.5 + 0 \cdot 0.5 = 0.5 \)

\(\overline{bel}(X_1 = \textrm{is_closed}) = p(X_1 = \textrm{is_closed} \: | \: U_1 = \textrm{do_nothing}, X_0 = \textrm{is_open}) \: bel(X_0 = \textrm{is_open}) + \)
\(\qquad \qquad \qquad \qquad \quad \: \: \: p(X_1 = \textrm{is_closed} \: | \: U_1 = \textrm{do_nothing}, X_0 = \textrm{is_closed}) \: bel(X_0 = \textrm{is_closed}) \)
\(\qquad \qquad \qquad \qquad \: \: = 0 \cdot 0.5 + 1 \cdot 0.5 = 0.5\)

It should not surprise us that \(bel(X_0) = \overline{bel}(X_1) \), since the robot action \(\textrm{do_nothing}\) does not influence the state of the world. Once we do the measurement update, however, our belief will change. Our belief update takes the form: $$bel(x_1) = \eta \: p(Z_1 = \textrm{sense_open} \: | \: x_1) \: \overline{bel}(x_1)$$

We have two possible resulting states, \(X_1 = \textrm{is_open}\) and \(X_1 = \textrm{is_closed}\):

\(bel(X_1 = \textrm{is_open}) = \eta \: p(Z_1 = \textrm{sense_open} \: | \: X_1 = \textrm{is_open}) \: \overline{bel}(X_1 = \textrm{is_open}) \)
\(\qquad \qquad \qquad \quad \: \: \: \: = \eta \: 0.6 \cdot 0.5 = \eta \cdot 0.3 \)

\(bel(X_1 = \textrm{is_closed}) = \eta \: p(Z_1 = \textrm{sense_open} \: | \: X_1 = \textrm{is_closed}) \: \overline{bel}(X_1 = \textrm{is_closed}) \)
\(\qquad \qquad \qquad \qquad \: \: = \eta \: 0.2 \cdot 0.5 = \eta \cdot 0.1 \)

We can now calculate the normalizer (\(\eta\)) so that \(\sum bel(x_1) = 1\) :

\( \eta = (0.3 + 0.1)^{-1} = 2.5\)

So, now our belief after time step 1 is:

\(bel(X_1 = \textrm{is_open}) = 0.75 \)
\(bel(X_1 = \textrm{is_closed}) = 0.25 \)


Belief calculation for \(t = 2\)


For the belief calculation for \(t = 2\), you'll need to work and write out the math on your own, however, feel free to talk and collaborate with one another in groups 2-3. You will likely find it helpful to use scratch paper or an equivalent.

For time step 2, we are going to assume that the robot executes the action \(u_2 = \textrm{push}\) and receives the measurement \(z_2 = \textrm{sense_open}\) from its camera. Your job is to calculate \(\overline{bel}(x_2)\) and \(bel(x_2)\).


Solution for belief calculation for \(t = 2\)


The solution will be posted here after Class Meeting 03 Homework is due.


Class Meeting 3 Homework


For your Class Meeting 3 Homework, submit the following via Canvas/Gradescope by 2:00pm on Wednesday, October 8th:


Acknowledgments


The content and exercises for today's class were informed by Probabilistic Robotics by Sebastian Thrun, Wolfram Burgard, and Dieter Fox.