You will use trees to encode the classic Huffman coding
algorithm for lossless data compression.
As a programming exercise, Huffman coding is a heady mix of tree
construction, counting, sorting, and other standard computational
techniques.
The topic of Huffman coding is treated in detail at many sites on the Web,
including this
one.
In your implementation, you should use higher-order
functions, such as map
, where appropriate.
You will be evaluated in part on your ability to recognize and take
advantage of opportunities to employ standard higher-order functions in your
computation.
Introduction
Digital information is stored as binary digits -- bits -- and bits are
physically represented as high and low electrical signals.
Bits are written as 1
and 0
, corresponding to high
and low respectively.
A byte is a bitstring of length 8.
The standard ASCII character encoding assigns one byte to each of 256
characters (256 being the number of distinct bytes that can be
represented with 0 and 1).
In ASCII, the capital A character corresponds to 01000001
(this is also the binary encoding of the number 65), B to 66, and so
on till Z to 90.
The following table shows some examples.
We can represent the characters
character binary encoding A 01000001 B 01000010 C 01000011 ... ... Z 01011010
SHE
with eight-bit ASCII
codes as follows:
01110011 01101000 01100101
In this lab we will learn an alternative efficient encoding technique
that generates shorter message encodings than ASCII.
The technique is known as Huffman coding.
Here are some insights relevant to how Huffman coding works. If a
message contains only a subset of the set of ASCII characters, it is
very likely possible to use fewer than eight bits per character. For
example, if our message is simply PIZZA
, only four
letters are used. Strictly speaking, for PIZZA
we only
need two bits per character: for example, 00
for
P
, 01
for I
, 10
for Z
and 11
for A
. Under that
scheme, we could represent PIZZA
in just ten bits:
0001101011
; in plain ASCII, by contrast, we need 8 bits
for each of the 5 characters, or 40 = 5 * 8 bits.
A second insight: if possible, we would like our more frequent characters to have shorter encodings than less frequent characters. Huffman codes use variable-length encoding for characters; not all characters are represented by the same number of bits. At scale, this can result in great savings.
These observations are the main ingredients in the Huffman coding system.
Note that variable-length encodings need to be prefix-free -- that is, the encoding of any character must not be the prefix of the encoding of any another character. This property must hold to ensure than encoded messages can be unambiguously decoded. The Huffman coding scheme produces prefix-free character encodings as a matter of course, so you need only implement the algorithm presented here to maintain prefix freedom.
To determine the Huffman codes for our characters, we start by
counting the number of occurrences of each letter in
the message. Consider the message SHESELLSSEASHELLS. The corresponding
frequencies would be
When only one tree remains in the list, we are done. That tree will be the mechanism by which we both encode and decode messages.
- Construct a sorted (ascending, by weight) list of singleton Huffman trees, with weights given by the calculated frequencies.
- Extract the two trees with the smallest weights from this list.
- Merge the two extracted trees into a new tree, whose weight is the combined weight of the two subtrees.
- Insert the newly-created tree back into the list such that the list still remains sorted by weight.
- Repeat from step 2, until only 1 tree remains in the list.
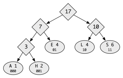
Running this algorithm on our example (SHESELLSSEASHELLS) produces the following tree:
To encode a string, we compute the bitstring for each character by traversing
the path from the root to that character. Every time we move to a left
subtree we record a 0
, and every time we move to a right
subtree we record a 1
. For example, for this tree, we derive
001
for H
.
To decode an encoded bitstring, we must be given both a bitstring and a Huffman tree. We start at the root, and move down and left for each 0, and down and right for each 1. Every time we reach a leaf, we record the letter at that leaf, and return to the root to begin reading the next letter.
Try to read the word 01011011
from the tree above. (It's
something slimy.) What about 00101011011
?
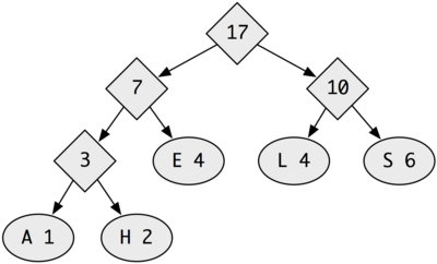
To facilitate implementation, we will build augmented Huffman trees such that each leaf contains the bitstring representing the path to that leaf. This will ease the encoding process in particular. The "augmented Huffman tree" corresponding to the tree above is this:
Note that the more frequently occurring letters have shorter bit encodings.![]()
To check your understanding of Huffman coding, verify the following results with pen and paper:
- FOO --> 011
- HUBBUB --> 000111011
- REFEREE --> 0110010111
For today's exercise, assume that messages consist only of uppercase letters and spaces.
Part 1: Construct the Tree
Download the lab 5 starter file for some basic data definitions.
Write code to implement the following steps:
- Given a message, generate a list of character/number pairs, where each number is the occurrence count of that character.
- Given a list of character/number pairs, produce the list of corresponding "singleton trees". Each such tree should have the empty list as its path.
- Sort the list of singleton trees in ascending order by count.
- Coalesce the list of trees into one big tree according to the algorithm sketched above (right above the first tree figure). Every time your program merges two trees, it must update the paths at the leaves accordingly.
Part 2: Decoding
Write a function
decode : list-of-bits huff -> string
to decode a given encoded message.
Part 3: Encoding
Write a function
encode : string -> (pair-of list-of-bits huff)
to encode a plaintext message and return both the bitstring and the
Huffman tree corresponding to that encoding.
When all is said and done, you should be able to feed strings into the following function and get those same strings back.
;; round-trip : string -> string
;; encode and then decode a message
(define (round-trip msg)
(local {(define p (encode msg))}
(decode (pair-of-item1 p) (pair-of-item2 p))))
Submitting: Note Extended Deadline
Submit your work via CS151 Handin
by 10 PM on Tuesday,
Nov 16.
Make sure your work is submitted as Lab5
.
Good luck, everyone.